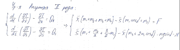
Для студентов МГТУ им. Н.Э.Баумана по предмету Теоретическая механикаУравнения Лагранжа 2-го родаУравнения Лагранжа 2-го рода
5,0052
2020-12-082020-12-08СтудИзба
ДЗ 3: Уравнения Лагранжа 2-го рода вариант 6
Описание
Характеристики домашнего задания
Предмет
Учебное заведение
Семестр
Номер задания
Вариант
Теги
Просмотров
65
Размер
1,33 Mb
Список файлов
Дз 3 Ур.Лагр._page-0002.jpg
Дз 3 Ур.Лагр._page-0003.jpg

МГТУ им. Н.Э.Баумана


















