ДЗ 2: Кинематика плоского движения твердого тела вариант 3
Описание
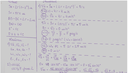
КИНЕМАТИКА ПЛОСКОГО ДВИЖЕНИЯ ТВЁРДОГО ТЕЛА
Для момента времени t требуется:
1) определить скорости и ускорения точек A, B, C, угловые скорости и ускорения всех
звеньев механизмов; по векторным формулам построить многоугольники скоростей
и ускорений точек;
2) найти положение мгновенного центра скоростей (МЦС) звеньев механизма и
мгновенного центра ускорений (МЦУ) звена 2, с их помощью проверить
правильность нахождения скорости и ускорения точки B;
3) нанести на рисунок механизма векторы скоростей и ускорений точек A, B, C,
обозначить круговыми стрелками направления угловых скоростей и ускорений
звеньев;
4) составить кинематические уравнения для расчета скорости и ускорения точки B,
угловых скоростей и ускорений звеньев в зависимости от времени с помощью
ЭВМ. Расчеты провести с помощью формул для плоского движения
твердого тела, построить графические зависимости рассчитанных величин от
времени, изобразить несколько положений механизма при движении, сопоставить
расчеты, выполненные вручную, с расчетами на ЭВМ.

Характеристики домашнего задания
Список файлов
