Для студентов МГТУ им. Н.Э.Баумана по предмету Теоретическая механикаКинематика сложного движения точкиКинематика сложного движения точки
3,725202
2020-06-272020-06-27СтудИзба
ДЗ 3: Кинематика сложного движения точки вариант 23
Описание
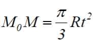
Колесо 1 катится по горизонтальной плоскости по закону φ = t2 без проскальзывания.На ободе колеса 1 в точке D шарнирно закреплён ползун 3,который скользит по стержню 2, вращающемуся вокруг оси O(z1),перпендикулярной плоскости рисунка. На конце стержня 2 приварен диск 4, по которому вдоль криволинейного паза, выполненного по дуге окружности, движется точка М по закону
.Принять α =30°, Н= 0,3 м, ОА=0,5 м, R=0,1 м. Для момента времени t= 1 c
определить:
1) угловые скорость и ускорение звена 2,а также относительное-по отношению к звену 2-ускорение точки D;
2) абсолютные скорость и ускорение точки M.
![]()
.Принять α =30°, Н= 0,3 м, ОА=0,5 м, R=0,1 м. Для момента времени t= 1 c определить:
1) угловые скорость и ускорение звена 2,а также относительное-по отношению к звену 2-ускорение точки D;
2) абсолютные скорость и ускорение точки M.

Характеристики домашнего задания
Предмет
Учебное заведение
Семестр
Номер задания
Вариант
Просмотров
271
Размер
2,48 Mb
Список файлов
дз3_сложное-движение.pdf
Комментарии
гуд
Отзыв
супер
МГТУ им. Н.Э.Баумана



















