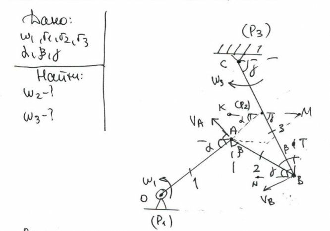
Для студентов НИУ «МЭИ» по предмету Теоретическая механикаКонтрольная работа(КМ2)-МЦС-2020Контрольная работа(КМ2)-МЦС-2020
5,0053
2021-03-302021-03-30СтудИзба
Ответы к контрольной работе: Контрольная работа(КМ2)-МЦС-2020
Бестселлер
Описание
Характеристики ответов (шпаргалок) к КР
Предмет
Учебное заведение
Семестр
Просмотров
128
Размер
138,95 Kb
Список файлов
КМ2 Термех.pdf
Комментарии
Нет комментариев
Стань первым, кто что-нибудь напишет!
НИУ «МЭИ»
baronbart

















