Для студентов МФПУ «Синергия» по предмету Строительная механикаСтроительная механика Итоговый, компетентностный тестСтроительная механика Итоговый, компетентностный тест
4,99521897
2025-08-162025-08-16СтудИзба
📚 Коллекция ответов по предмету Строительная механика в Синергии – большая база! 💯
Ответы к заданиям Итоговый: Строительная механика Итоговый, компетентностный тест
Описание
Крупная база ответов к предмету🔥 Строительная механика 🔥
С помощью данной коллекции вы 100% сдадите ЛЮБОЙ тест.
▶️ Готовые практики / Готовые базы ответов / Отдельные ответы ◀️
➡️ Любой тест / Любая практика / Любая НИР ⬅️
🗝️ Сессия под ключ 🗝️
(жми на нужную ссылку! 😉 )
С помощью данной коллекции вы 100% сдадите ЛЮБОЙ тест.
▶️ Готовые практики / Готовые базы ответов / Отдельные ответы ◀️
➡️ Любой тест / Любая практика / Любая НИР ⬅️
🗝️ Сессия под ключ 🗝️
(жми на нужную ссылку! 😉 )
- Итоговая аттестация
- Итоговый тест
- Компетентностный тест
- Заключение
Список вопросов
Что необходимо произвести на 1 этапе построения линии влияния кинематическим методом?
Что необходимо произвести на 2 этапе построения линии влияния кинематическим методом?
Какая балка называется продольной?
Какие силы, помимо поперечных сил и изгибающих моментов, возникают в поперечных сечениях при нагрузках, направленных не по нормали к оси балки?
Какие участки поперечных сил Q соответствуют участкам с нисходящими ординатами эпюры М?
Что изображено на рисунке?
![]()

Что необходимо произвести на 3 этапе построения линии влияния кинематическим методом?
Что такое «ферма»?
Чему должно равняться число параметров, определяющих реакции закреплений, чтобы сооружение было статически определимо относительно опорных закреплений?
Какие участки поперечных сил Q соответствуют участкам с восходящими ординатами эпюры М?
Что принято обозначать буквой «S» в формуле?
S = 3 K - 3
S = 3 K - 3
Какая балка называется главной?
Как классифицируются фермы по назначению?
Что изображено на рисунке?
![]()

Что изображено на рисунке?
![]()

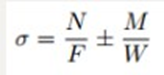
Что такое «W» в формуле определения значения нормальных напряжений в крайних точках?
![]()

В каком году И.П. Кулибин сконструировал трехарочный металлический мост?
Кто впервые предложил арочную систему для перекрытия большого пролета?
Что изображено на рисунке?
![]()

Если система находится в равновесии, то сумма работ всех сил на любых возможных перемещениях…
Какая балка называется поперечной?
Что изображено на рисунке?
![]()

Что изображено на рисунке?
![]()

Как классифицируются фермы по типу решетки?
Как классифицируются фермы по типу опирания?
Какие системы называют арочными?
На какие системы статика сооружений делит геометрические неизменяемые системы?
Как называется система с двумя стержнями, лежащими на одной прямой?
Чем круче касательная к эпюре М, тем…
В каком случае два диска образуют геометрически неизменяемую систему?
Как называется тип опоры, представленный на рисунке?
![]()

Как называется тип опоры, представленный на рисунке?
![]()

В каком году И.П. Кулибин впервые предложил арочную систему для перекрытия большого пролета?
Какое положение нагрузки называют невыгоднейшим?
Что такое «N» в формуле определения значения нормальных напряжений в крайних точках?
![]()

Что принято обозначать буквой «К» в формуле?
S = 3 K - 3
S = 3 K - 3
Характеристики ответов (шпаргалок) к заданиям
Тип
Коллекция: Ответы (шпаргалки) к заданиям
Предмет
Учебное заведение
Номер задания
Программы
Просмотров
3
Качество
Идеальное компьютерное
Количество вопросов

❓ Как копировать вопросы во время теста в Синергии?

Гарантия сдачи без лишних хлопот! ✅🎓 Ответы на тесты по любым дисциплинам, базы вопросов, работы и услуги для Синергии, МЭИ и других вузов – всё уже готово! 🚀 🎯📚 Гарантия качества – или возврат денег! 💰✅