Для студентов МГТУ им. Н.Э.Баумана по предмету Сопротивление материаловУстойчивость сжатых стержнейУстойчивость сжатых стержней
5,0052
2023-05-102025-02-11СтудИзба
Вариант 233 - ДЗ №3 - "Устойчивость сжатых стержней"
ДЗ 6: Устойчивость сжатых стержней вариант 233
-25%
Описание
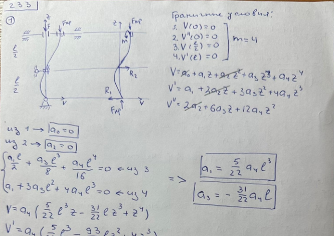
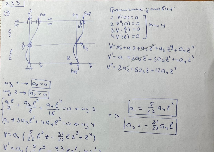
Домашнее задание №3, 1 задача, "Устойчивость сжатых стержней", зачтено
Условие:
Решение:
Показать/скрыть дополнительное описание
Условие:

Решение:

Типовой расчет по сопротивлению материалов МГТУ 4 семестр домашнее задание.
Характеристики домашнего задания
Предмет
Учебное заведение
Семестр
Номер задания
Вариант
Теги
Просмотров
72
Качество
Фото рукописных листов
Размер
1,32 Mb
Список файлов
Вариант 16 УСС 303.pdf

Спасибо за покупку! Я буду очень рад, если поставишь справедливую оценку купленному файлу :3 Ищи больше работ в моём профиле, там много нужного тебе!