Для студентов МФПУ «Синергия» по предмету Прикладная механикаПрикладная механикаПрикладная механика
5,00530
2025-05-242025-10-23СтудИзба
Ответы к экзамену: Прикладная механика
Бестселлер
-13%
Описание
Ответы представлены на ИТОГОВЫЙ ТЕСТ
Перед покупкой сверьте список вопросов и убедитесь, что вам нужны ответы именно на эти вопросы!
С вопросами вы можете ознакомиться ДО покупки.
Для быстрого поиска вопроса используйте Ctrl+F.
Перед покупкой сверьте список вопросов и убедитесь, что вам нужны ответы именно на эти вопросы!
С вопросами вы можете ознакомиться ДО покупки.
Для быстрого поиска вопроса используйте Ctrl+F.
Список вопросов
Укажите примерный вид изогнутой оси балки
![]()

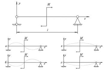
Система, представленная на рисунке, является … статически неопределимой.
![]()

При кручении трубы с внешним диаметром D=3d и внутренним диаметром d в точке A возникают касательные напряжения τ = 35 МПа. Труба изготовлена из пластичного материала τm=140 МПа. Коэффициент запаса nm конструкции равен …
![]()

В какой точке возникает наибольшее касательное напряжение?
![]()

Как изменится длина участка 1 нагруженного стержня?
![]()

Ступенчатый вал круглого поперечного сечения скручивается моментами M. Если наибольшее касательное напряжение на первом участке равно τ_max, то наибольшее касательное напряжение на втором участке равно …
![]()

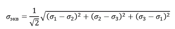
Какая теория прочности соответствует формуле для определения эквивалентного напряжения σэкв?
![]()

Диаграмма растяжения какого материала представлена на рисунке?
![]()

Как изменится Wp, если D и d увеличить в 2 раза?
![]()

Укажите правильную эпюру распределения касательных напряжений τ_max по поперечному сечению круглого вала при таком характере
Определите площадь поперечного сечения стержня A, если F=5000 Н, σт=250 МПа, nт=1,5.
![]()

Какая правильная эпюра продольной силы N?
![]()

Принцип Сен-Венана предполагает, …
По диаграмме Мора определите значение максимального касательного напряжения τmax
Как изменится внутренний изгибающий момент Mx, если l увеличить в 2 раза?
![]()

Как изменится прогиб сечения K, если Ix уменьшить в 4 раза?
![]()

Какой коэффициент приведенной длины у данного вида закрепления?
![]()

Целью поверочного расчета конструкции является …
Как изменится прогиб сечения K, если l и q увеличить в 2 раза?
![]()

Определите допускаемую нагрузку [F], если A=1000 мм2, [σ]=100 МПа.
![]()

Какой коэффициент приведенной длины у данного вида закрепления?
![]()

Какой механической характеристики материала соответствует точка 2 на диаграмме условных напряжений?
![]()

Какой тип у данного напряженного состояния?
![]()

Укажите примерный вид изогнутой оси балки
![]()

Хрупкие материалы разрушаются при остаточных деформациях порядка …
Как изменяется характер эпюры изгибающего момента Mx если эпюра Qy постоянна и положительна?
Изгиб называется прямым, если …
Как изменится критическая сила Fкр при увеличении диаметра d в 2 раза?
![]()

Как изменится критическая сила Fкр при увеличении длины стержня l в 4 раза?
![]()

Укажите примерный вид изогнутой оси балки
![]()

Как изменяется характер эпюры изгибающего момента Mx если эпюра Qy линейна и положительна?
При увеличении значения M в 3 раза максимальные касательные напряжения τmax … уменьшатся в 3 раза
![]()

Как изменяется характер эпюры изгибающего момента Mx если эпюра Qy линейна и отрицательна?
Какой тип у данного напряженного состояния?
![]()

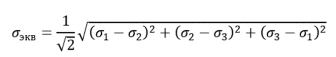
Какая теория прочности соответствует формуле для определения эквивалентного напряжения σэкв?
![]()

Коэффициент запаса конструкции n показывает …
Как изменится прогиб сечения K, если l и q увеличить в 2 раза?
![]()

Хрупкие материалы лучше сопротивляются нагрузкам на …
Пластичные материалы способны выдерживать … остаточных деформаций и при этом не разрушаться.
На некотором участке балки эпюра Qy линейно убывает до 0, следовательно эпюра Mx …
Какой коэффициент приведенной длины у данного вида закрепления?
![]()

Объект, который не деформируется под воздействием внешнего нагружения имеет название - …
Как изменится внутренний изгибающий момент Mx, если F увеличить в 2 раза, а l увеличить в 3 раза?
![]()

Для определения внутренних силовых факторов используется …
Напряженным состоянием в точке тела называют …
… - модуль отношения относительной поперечной деформации ε’ к продольной ε.
Как изменяется характер эпюры изгибающего момента Mx если эпюра Qy постоянна и отрицательна?
Плоские поперечные сечения круглого вала после приложения крутящего момента …
Что называется относительным сдвигом?
![]()

Какой тип у данного напряженного состояния?
![]()

По какой формуле определяется относительный угол закручивания вала?
На участке изображена эпюра поперечной силы Qy. Каким образом будет выглядеть эпюра внутреннего изгибающего момента Мx?
![]()

Укажите формулу для определения нормальных напряжений, возникающих в поперечных сечениях при растяжении сжатии стержня.
Чистым сдвигом называется
Плоские поперечные сечения круглого вала после приложения крутящего искривляются по всей длине вала
Какой тип у данного напряженного состояния?
![]()

Какое уравнение дополняет уравнения равновесия при решении задач статически неопределимых систем?
Какие внутренние силовые факторы возникают в поперечных сечениях стержня при растяжении-сжатии?
Какая механическая характеристика принимается в качестве опасного напряжения для хрупкого материала?
Какая механическая характеристика принимается в качестве опасного напряжения для пластичного материала?
… – способность конструкции и ее элементов сохранять форму упругого равновесия под действием внешнего нагружения
… – способность конструкции и её элементов сопротивляться разрушению под действием внешнего нагружения
Характеристики ответов (шпаргалок) к экзамену
Тип
Коллекция: Ответы (шпаргалки) к экзамену
Предмет
Учебное заведение
Просмотров
169
Количество вопросов

❓ Как копировать вопросы во время теста в Синергии?
Комментарии
Нет комментариев
Стань первым, кто что-нибудь напишет!
МФПУ «Синергия»
shalenysh


















