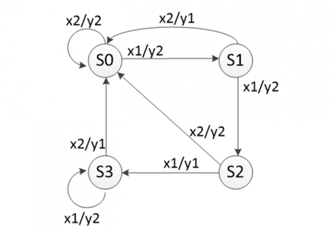
Для студентов ИДДО НИУ «МЭИ» по предмету Основы теории вычислительных системЗадан автомат Мили. Определить эквивалентный ему автомат МураЗадан автомат Мили. Определить эквивалентный ему автомат Мура
4,99522014
2024-06-162025-06-25СтудИзба
Ответы к экзамену Итоговая работа: Задан автомат Мили. Определить эквивалентный ему автомат Мура вариант Любой
-33%
Описание
Ответ на одну из задач для итогового экзамена по ОТВС.
Полный курс_Итоговая работа_ОТВС-Б-3-1-ЗаО_1/1
Показать/скрыть дополнительное описание
Задан автомат Мили. Определить эквивалентный ему автомат Мура

Полный курс_Итоговая работа_ОТВС-Б-3-1-ЗаО_1/1

Курс Основы теории вычислительных систем 1/1 (ИДДО ОТВС-Б-3-1-ЗаО).
Характеристики ответов (шпаргалок) к экзамену
Учебное заведение
Номер задания
Вариант
Программы
Теги
Просмотров
30
Качество
Идеальное компьютерное
Размер
93,41 Kb
Преподаватели
Список файлов
8.docx

Гарантия сдачи без лишних хлопот! ✅🎓 Ответы на тесты по любым дисциплинам, базы вопросов, работы и услуги для Синергии, МЭИ и других вузов – всё уже готово! 🚀 🎯📚 Гарантия качества – или возврат денег! 💰✅