Для студентов ИДДО НИУ «МЭИ» по предмету Основы теории управления (ОТУ)КМ-2. Однокритериальная модель для оптимального планированияКМ-2. Однокритериальная модель для оптимального планирования
5,005394
2023-12-222023-12-22СтудИзба
Задача: КМ-2. Однокритериальная модель для оптимального планирования вариант 1
Описание
Контрольная работа
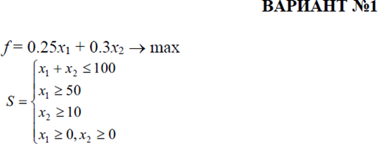
Задана математическая модель оптимального планирования. Определить x1, x2 и значение функции. Вариант выбирается из номера по списку в группе.
![]()
Задана математическая модель оптимального планирования. Определить x1, x2 и значение функции. Вариант выбирается из номера по списку в группе.

Характеристики решённой задачи
Учебное заведение
Семестр
Вариант
Просмотров
17
Размер
143,79 Kb
Преподаватели
Список файлов
1.docx
Комментарии
Нет комментариев
Стань первым, кто что-нибудь напишет!
ИДДО НИУ «МЭИ» 


















