Для студентов НИУ «МЭИ» по предмету Основы теории управления (ОТУ)Принципы автоматического управленияПринципы автоматического управления
4,96529564
2023-01-192023-01-19СтудИзба
Лабораторная работа 1: Принципы автоматического управления вариант 10
Описание
Защита лабораторной работы №1 по ОТУ
Принципы автоматического управления
Теория
- Структурная схема САУ и ее элементы, способы соединения звеньев в САУ.
Практика
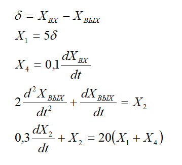
- По заданной системе уравнений составить структурную схему системы. По структурной схеме найти передаточную функцию системы.
Файлы условия, демо
Характеристики лабораторной работы
Учебное заведение
Семестр
Номер задания
Вариант
Теги
Просмотров
7
Качество
Фото рукописных листов
Размер
13,16 Mb
Список файлов
Защита - Принципы автоматического управления - Вариант 10.docx
Защита - Принципы автоматического управления - Вариант 10.pdf

Вам все понравилось? Получите кэшбэк - 40 рублей на Ваш счёт при покупке. Поставьте оценку и напишите положительный комментарий к купленному файлу. После Вы получите деньги на ваш счет.