Для студентов НИУ «МЭИ» по предмету Основы теории цепей (ОТЦ)Расчетное задание № 1 по ОТЦРасчетное задание № 1 по ОТЦ
5,00528
2025-11-272025-11-27СтудИзба
ДЗ: Расчетное задание № 1 по ОТЦ вариант 8
Новинка
Описание
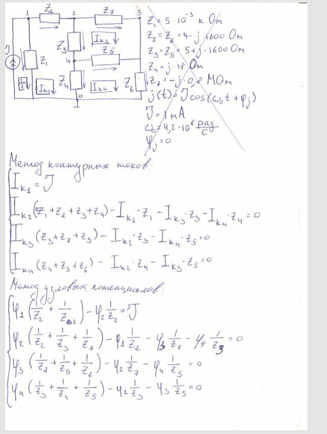
Пример расчетного задания. Цепь актуальна на данный момент
![]()

Файлы условия, демо
Характеристики домашнего задания
Предмет
Учебное заведение
Семестр
Вариант
Программы
Просмотров
0
Качество
Скан печатных листов
Размер
2,25 Mb
Список файлов
Типовой Расчёт ОТЦ 3 семестр (2).pdf
Комментарии
Нет комментариев
Стань первым, кто что-нибудь напишет!
НИУ «МЭИ»
OChelovek
















