Для студентов РУТ (МИИТ) по предмету Основы механики тягового подвижного составаИсследование горизонтальных колебаний одиночной тележки подвижного состава с осевой формулой 20-20Исследование горизонтальных колебаний одиночной тележки подвижного состава с осевой формулой 20-20
4,84530
2025-09-042025-10-04СтудИзба
РУТ (МИИТ) Исследование свободных горизонтальных колебаний и устойчивости движения экипажа с осевой формулой 20-20, Вид колеб - горизонт; Тип состава - электровоз; Класс двиг. - II; V - 190 км/ч.
Лабораторная работа Эл.воз 20-20 190 II: Исследование горизонтальных колебаний одиночной тележки подвижного состава с осевой формулой 20-20
Описание
Российский университет транспорта РУТ (МИИТ)
Кафедра "Электропоезда и локомотивы"
Дисциплинна: Основы механики тягового подвижного состава
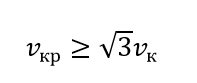
Цель работы: Определить критическую скорость движения (vкр) одиночной тележки, с осевой формулой 20-20. Проверить выполнение неравенства:
Показать/скрыть дополнительное описание
Кафедра "Электропоезда и локомотивы"
Дисциплинна: Основы механики тягового подвижного состава
Цель работы: Определить критическую скорость движения (vкр) одиночной тележки, с осевой формулой 20-20. Проверить выполнение неравенства:
Показать/скрыть дополнительное описаниеЦель работы: Определить критическую скорость движения (vкр) одиночной тележки, с осевой формулой 20-20. Проверить выполнение неравенства: РУТ (МИИТ) Исследование свободных горизонтальных колебаний и устойчивости движения экипажа с осевой формулой 20-20, Вид колеб - горизонт; Тип состава - электровоз; Класс двиг. - II; V - 190 км/ч..
Характеристики лабораторной работы
Учебное заведение
Семестр
Номер задания
Вариант
Программы
Теги
Просмотров
2
Качество
Идеальное компьютерное
Размер
2,27 Mb
Преподаватели
Список файлов
ОМПС.docx
опвьатвы.jpg
Комментарии
Нет комментариев
Стань первым, кто что-нибудь напишет!
РУТ (МИИТ)
wershak

















