💼 База ответов к экзамену - курс Оптика 📊
Описание
- Полный курс_Итоговая работа_О-Б-5-1-Экз
- Аттестационный курс

➡️Любой предмет | Любой тест | Любая практика | ВКР (Диплом)⬅️
🗝️ ▶Помощь с сессией/долгами под ключ ◀ 🗝️
Список вопросов
Какие из перечисленных оптических явлений относятся к квантовым?
h=6,626*10-16 Дж·с e=1.6*10-29кл
Металлический шарик радиусом Rw=1 см освещается ультрафиолетовым излучением с длиной волны = 200 нм. В результате фотоэффекта шарик заряжается положительным зарядом до потенциала 1,5 В. Его максимальный заряд равен:
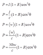
Давление света Ропределяется по формулам (N число фотонов, падающих в единицу времени на единицу площади облучаемой поверхности)


Коэффициент отражения по мощности для р-компоненты естественного света при падении под углом θ1=0 из воздуха на стеклянную пластинку с показателем преломления п=1,7 равен
Естественный свет падает из воздуха на стеклянную пластинку с показателем преломления n=1,52 под углом Брюстера. Угол падения равен
Длина волны света обыкновенного луча в одноосном положительном кристалле
Кристалл турмалина способен преобразовывать
В эксперименте по наблюдению дифракции Фраунгофера на щель падает свет от ртутной лампы, содержащий спектральные составляющие жёлтого (1=0,580 мкм), зелёного (2=0,550 мкм) и фиолетового (1=0,407 мкм) цветов. Как расположатся цвета в максимуме первого порядка дифракционной картины при возрастании угла дифракции?
В каком порядке спектра дифракционной решётки будут разрешены две близкие длины волны 518,00 нм и 518,15 нм, если решётка содержит 1500 штрихов?
На рисунках 1 и 2 показаны интерференционные картины, полученные на установках "Кольца Ньютона" с разными радиусами
кривизны линз. Выберите рисунок, соответствующий большему радиусу кривизны линзы.

Гармоническая волна распространяется в вакууме вдоль положительного направления оси х. В точке с координатой х зафиксирована разность фаз Δφ для двух моментов времени которой соответствует выражение
Выберите правильный ответ (k - волновое число, w - циклическая частота).
Выберите правильный ответ, в котором линии излучения в спектре серии Бальмера атома водорода расположены в порядкевозрастания энергии кванта света:
На рисунке изображены два идеальных абсолютных поляроида, оптические оси которых взаимно перпендикулярны. На первый поляроид падает естественный свет %.
После прохождения второго поляроида интенсивность света будет максимальной, если повернуть
На рисунке изображены два идеальных абсолютных поляроида, оптические оси которых параллельны друг другу. На первый поляроид падает естественный свет %.. При повороте второго поляроида на 90° вокруг оси Х интенсивность света
На круглое отверстие падает сферическая волна.
Амплитуды волн, создаваемых зонами Френеля, с увеличением номера зоны
Зоны Френеля при распространении сферической волны - это
Свет поляризован по кругу, если разность начальных фаз равна:
Степень поляризации света равна 0,5. Отношение максимальной и минимальной интенсивностей света /max//min равно:
Уравнение плоской синусоидальной волны, распространяющейся вдоль оси ОХ, имеет вид S=Asin(628t - 3,14х) (время измеряется в секундах, координата х - в метрах). Период колебаний волны Т равен
Характеристики ответов (шпаргалок) к экзамену
Преподаватели
