Для студентов НИУ «МЭИ» по предмету Моделирование системЗадача из билета к экзаменуЗадача из билета к экзамену
4,96529672
2022-11-182022-11-18СтудИзба
Ответы к экзамену 6: Задача из билета к экзамену
Описание
Практическое задание
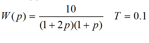
Для объекта, описываемого передаточной функцией построить ARMAX –модель.
Файлы условия, демо
Характеристики ответов (шпаргалок) к экзамену
Предмет
Учебное заведение
Семестр
Номер задания
Просмотров
7
Качество
Скан рукописных листов
Размер
117,5 Kb
Список файлов
(6).doc

Вам все понравилось? Получите кэшбэк - 40 рублей на Ваш счёт при покупке. Поставьте оценку и напишите положительный комментарий к купленному файлу. После Вы получите деньги на ваш счет.