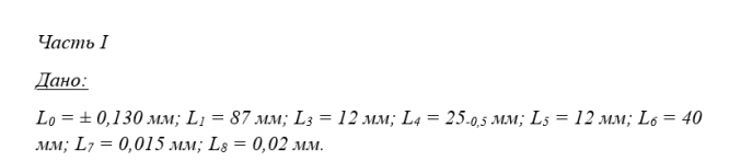
Для студентов МГТУ им. Н.Э.Баумана по предмету Метрология, стандартизация и сертификация (МСиС)Сборочная размерная цепь + Подетальная размерная цепьСборочная размерная цепь + Подетальная размерная цепь
5,0051
2024-02-022024-02-02СтудИзба
ДЗ 2: Сборочная размерная цепь + Подетальная размерная цепь вариант 9
Описание
Характеристики домашнего задания
Учебное заведение
Номер задания
Вариант
Теги
Просмотров
54
Размер
97,91 Kb
Преподаватели
Список файлов
ДЗ2.docx
Комментарии
Нет комментариев
Стань первым, кто что-нибудь напишет!
МГТУ им. Н.Э.Баумана
bloodber


















