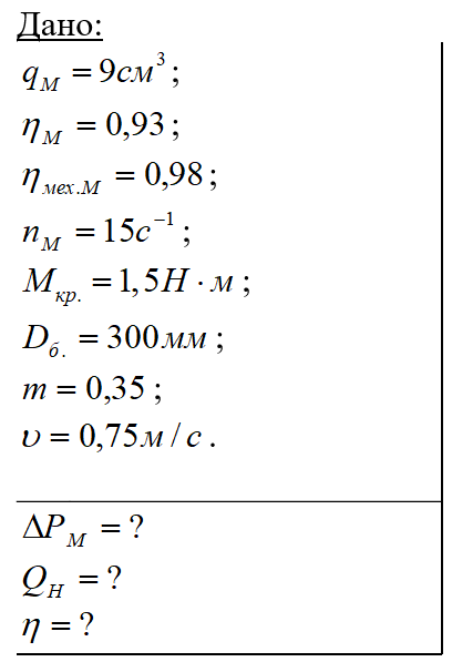
Для студентов по предмету Механика жидкости и газа (МЖГ или Гидравлика)Известны следующие величины гидравлической лебёдки (см. Рис.): рабочий объём гидромотора ; КПД гидромотора ; механический КПД гидромотора ; частотаИзвестны следующие величины гидравлической лебёдки (см. Рис.): рабочий объём гидромотора ; КПД гидромотора ; механический КПД гидромотора ; частота
4,9957613
2024-10-032024-10-03СтудИзба
Известны следующие величины гидравлической лебёдки (см. Рис.): рабочий объём гидромотора ; КПД гидромотора ; механический КПД гидромотора ; частота вращения вала гидромотора ; крутящий момент на валу гидромотора . Диаметр барабана лебёдки ; мас
Описание
УСЛОВИЕ
ДЕМО ![]()
Показать/скрыть дополнительное описаниеИзвестны следующие величины гидравлической лебёдки (см. Рис.): рабочий объём гидромотора ; КПД гидромотора ; механический КПД гидромотора ; частота вращения вала гидромотора ; крутящий момент на валу гидромотора . Диаметр барабана лебёдки ; масса груза , скорость подъёма . Требуется определить: 1.перепад давления на гидромоторе ; 2.потребную подачу насоса ; 3.КПД гидропривода . .
Характеристики решённой задачи
Номер задания
Программы
Просмотров
1
Качество
Идеальное компьютерное
Размер
82,19 Kb
Список файлов
Задача 13.docx

Если работа Вам была полезна, Пожалуйста, потратьте несколько секунд, чтобы оставить нам 5 ЗВЁЗД и положительный отзывы. Мы Вам глубоко признателены!