Для студентов по предмету Механика жидкости и газа (МЖГ или Гидравлика)Задача 1-4Задача 1-4
5,0053
2023-04-052023-04-05СтудИзба
Задача 1: Задача 1-4 вариант 4
Описание
Задача 1-4 (Куколевский И.И.)
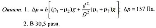
Двухжидкостный микроманометр состоит из U-образной трубки диаметром d = 5 мм, соединяющей чашки диаметрами D = 50 мм. Прибор наполнен несмешивающимися жидкостями с близкими удельными весами -водным раствором этилового спирта (ρ1 = 870 кг/м3) и керосином (ρ2 = 830 кг/м3).1) Установить связь между измеряемой микроманометром разностью давлений газа ∆р = р1−р2 и смещением h мениска раздела жидкостей от его начального положения, отвечающего р = 0. Определить р при h = 280 мм.
2) Указать, во сколько раз уменьшатся показания прибора при данном р, если в приборе будут отсутствовать чашки.


ДЕМО

Двухжидкостный микроманометр состоит из U-образной трубки диаметром d = 5 мм, соединяющей чашки диаметрами D = 50 мм. Прибор наполнен несмешивающимися жидкостями с близкими удельными весами -водным раствором этилового спирта (ρ 1 = 870 кг/м 3 ) и керосином (ρ 2 = 830 кг/м 3 ). 1) Установить связь между измеряемой микроманометром разностью давлений газа ∆р = р 1 −р 2 и смещением h мениска раздела жидкостей от его начального положения, отвечающего р = 0. Определить р при h = 280 мм. 2) Указать, во сколько раз уменьшатся показания прибора при данном р, если в приборе будут отсутствовать чашки..
Характеристики решённой задачи
Номер задания
Вариант
Программы
Теги
Просмотров
31
Качество
Идеальное компьютерное
Размер
87,39 Kb
Список файлов
Задача 1.4.docx

Если работа Вам была полезна, Пожалуйста, потратьте несколько секунд, чтобы оставить нам 5 ЗВЁЗД и положительный отзывы. Мы Вам глубоко признателены!