Для студентов по предмету Механика жидкости и газа (МЖГ или Гидравлика)Задача 1-12Задача 1-12
5,00516
2022-10-162024-07-01СтудИзба
Задача 1: Задача 1-12 вариант 12
Описание
Хотите найти другие готовые задачи Куколевского по гидравлике по низким ценам, НАЖМИТЕ СЮДА!
Задача 1.12. Куколевский И.И.
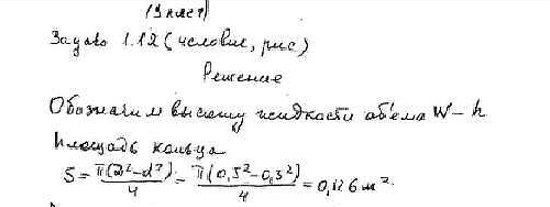
Покоящийся на неподвижном поршне и открытый сверху и снизу сосуд массой m = 16 кг состоит из двух цилиндрических частей, внутренние диаметры которых D = 0,5 м и d = 0,3 м. Определить, какой минимальный объем воды должен содержаться в верхней части сосуда, чтоб сосуд всплыл над поршнем.

ДЕМО

Характеристики решённой задачи
Номер задания
Вариант
Теги
Просмотров
118
Качество
Фото рукописных листов
Размер
37,16 Kb
Список файлов
1.12.jpg

Если работа Вам была полезна, Пожалуйста, потратьте несколько секунд, чтобы оставить нам 5 ЗВЁЗД и положительный отзывы. Мы Вам глубоко признателены!