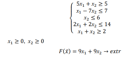
Для студентов по предмету МатематикаПостроить на плоскости область решений системы линейных неравенств и найти максимальное и минимальное значения линейной функции в этой области.Построить на плоскости область решений системы линейных неравенств и найти максимальное и минимальное значения линейной функции в этой области.
5,0053184
2025-03-242025-03-24СтудИзба
Построить на плоскости область решений системы линейных неравенств и найти максимальное и минимальное значения линейной функции в этой области.
Описание
Построить на плоскости область решений системы линейных неравенств и найти максимальное и минимальное значения линейной функции в этой области.
![]()

Характеристики решённой задачи
Предмет
Просмотров
2
Качество
Идеальное компьютерное
Размер
510,25 Kb
Список файлов
чистовик Вариант 13-3-13.pdf

Если нужен другой вариант работы или отдельная задача из любой работы, пишите в комментарии