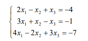
Для студентов по предмету МатематикаРешить систему уравнений методом Крамера и матричным методом с помощью обратной матрицы.Решить систему уравнений методом Крамера и матричным методом с помощью обратной матрицы.
5,0053184
2025-03-182025-03-18СтудИзба
Задача: Решить систему уравнений методом Крамера и матричным методом с помощью обратной матрицы.
Описание
Решить систему уравнений методом Крамера и матричным методом с помощью обратной матрицы.
![]()

Характеристики решённой задачи
Предмет
Просмотров
1
Качество
Идеальное компьютерное
Размер
202,83 Kb
Список файлов
2-5-6.pdf

Если нужен другой вариант работы или отдельная задача из любой работы, пишите в комментарии