Для студентов по предмету МатематикаДоказать совместность системы линейных алгебраических уравнений и решить ее:Доказать совместность системы линейных алгебраических уравнений и решить ее:
5,0053347
2025-02-282025-02-28СтудИзба
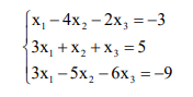
Задача: Доказать совместность системы линейных алгебраических уравнений и решить ее:
Описание
Доказать совместность системы линейных алгебраических уравнений и решить ее:
1) методом Гаусса,
2) средствами матричного исчисления
![]()
1) методом Гаусса,
2) средствами матричного исчисления

Характеристики решённой задачи
Предмет
Просмотров
1
Качество
Идеальное компьютерное
Размер
147,73 Kb
Список файлов
4-2-3.pdf

Если нужен другой вариант работы или отдельная задача из любой работы, пишите в комментарии