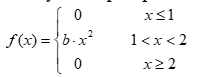
Для студентов по предмету МатематикаФункция распределения случайной величины имеет вид:Функция распределения случайной величины имеет вид:
5,0053250
2025-01-172025-01-17СтудИзба
Задача: Функция распределения случайной величины имеет вид:
Описание
Функция распределения случайной величины имеет вид:
найти: b,M(X); Д(X);σ(X); P[3/2≤X≤2].

Характеристики решённой задачи
Предмет
Просмотров
1
Качество
Идеальное компьютерное
Размер
46,47 Kb
Список файлов
image (8).png

Если нужен другой вариант работы или отдельная задача из любой работы, пишите в комментарии