Для студентов по предмету МатематикаКудрявцев Задачник Т2 Гл4 §14 Задача23-2Кудрявцев Задачник Т2 Гл4 §14 Задача23-2
2021-08-232021-08-23СтудИзба
Задача: Кудрявцев Задачник Т2 Гл4 §14 Задача23-2
Описание
Кудрявцев Л. Д., Кутасов А. Д., Чехлов В. И., Шабунин М. И.
Сборник задач по математическому анализу. Том 2. Интегралы.
Ряды: Учеб. пособие/ Под ред. Л.Д. Кудрявцева. — 2-е изд., перераб. —
М.: ФИЗМАТЛИТ, 2003. — 504 с. — ISBN 5-9221-0307-5.
Гл.4- Числовые ряды. §14- Ряды с неотрицательными членами
Задача 23-6).
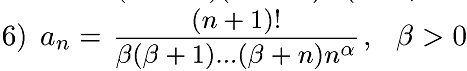
23. Исследовать на сходимость ряд
с помощью признака Раабе или признака Гаусса:
![]()
Сборник задач по математическому анализу. Том 2. Интегралы.
Ряды: Учеб. пособие/ Под ред. Л.Д. Кудрявцева. — 2-е изд., перераб. —
М.: ФИЗМАТЛИТ, 2003. — 504 с. — ISBN 5-9221-0307-5.
Гл.4- Числовые ряды. §14- Ряды с неотрицательными членами
Задача 23-6).
23. Исследовать на сходимость ряд
с помощью признака Раабе или признака Гаусса:

Характеристики решённой задачи
Предмет
Просмотров
7
Размер
185,28 Kb
Список файлов
kudriavcev-v2-ch4-@14-problem-23-6.png
Комментарии
Нет комментариев
Стань первым, кто что-нибудь напишет!





















