Задача: Кудрявцев Задачник Т2 Гл 4 §13 Задача 12-2
Описание
Кудрявцев Л. Д., Кутасов А. Д., Чехлов В. И., Шабунин М. И.
Сборник задач по математическому анализу. Том 2. Интегралы.
Ряды: Учеб. пособие/ Под ред. Л.Д. Кудрявцева. — 2-е изд., перераб. —
М.: ФИЗМАТЛИТ, 2003. — 504 с. — ISBN 5-9221-0307-5.
Гл.4- Числовые ряды. §13. Свойства сходящихся рядов.
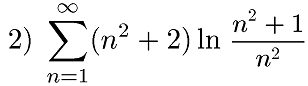
Задача 12-2).
Доказать расходимость ряда, используя необходимое условие сходимости:
![]()
Сборник задач по математическому анализу. Том 2. Интегралы.
Ряды: Учеб. пособие/ Под ред. Л.Д. Кудрявцева. — 2-е изд., перераб. —
М.: ФИЗМАТЛИТ, 2003. — 504 с. — ISBN 5-9221-0307-5.
Гл.4- Числовые ряды. §13. Свойства сходящихся рядов.
Задача 12-2).
Доказать расходимость ряда, используя необходимое условие сходимости:

Характеристики решённой задачи
Предмет
Просмотров
2
Размер
138,95 Kb
Список файлов
kudriavcev-v2-ch4-@13-problem-12-2.png
Комментарии
Нет комментариев
Стань первым, кто что-нибудь напишет!


















