Главная » Учебные материалы » Математическое и имитационное моделирование » Домашние задания » ИДДО НИУ «МЭИ» » Номер КМ-3 » КМ-3. Решение задач линейного программирования. Решение задач графическим методом. Решение задач + КМ-4. Решение транспортной задачи. Нахождение опорных планов. Решение задач (Решение 2)

КМ-3. Решение задач линейного программирования. Решение задач графическим методом. Решение задач + КМ-4. Решение транспортной задачи. Нахождение опорных планов. Решение задач (Решение 2)

Новинка

Описание

📚 Услуги для ИДДО (жми на нужную ⬇️ ):
➡️ Любой тест в ИДДО | Любой КМ | Любой предмет | Сессия под ключ | Практика | ВКР (Диплом) ⬅️

Остались вопросы? Скорее пиши ➡️ Написать эксперту


☑️ Готовая работа - КМ-3. Решение задач линейного программирования. Решение задач графическим методом. Решение задач + КМ-4. Решение транспортной задачи. Нахождение опорных планов. Решение задач по курсу Методы оптимизации

➡️ Готовые работы по курсу ⬅️
▶️ Помощь с работами по курсу ◀️

Задание:

КМ-3. Практическое задание №2
Отчет с решениями оформить в виде документа Word.
Содержание отчета
• титульный лист;
• цель работы; задание;
• описание порядка выполнения решения задачи каждым методом
• таблицы с результатами по каждому методу, где должны быть отражены границы и длины интервалов на каждой итерации;

• исходные файлы (если выполнение в Excel или другой программе)
• выводы по каждому заданию.

Практическая работа состоит из решения 2 заданий:
1) Решение одноиндексной задачи линейного программирования
2) Решение задач графическим методом; Задания выполнять «вручную» (рассчитывать значения и пр.) – результаты вычислений представить в таблицах (Word или Excel). На оценку «5» разработать программу задачи 1 или задачи 2 на языке программирования (Python, С++ и др.).

Задание 1.
Решение одноиндексной задачи линейного программирования
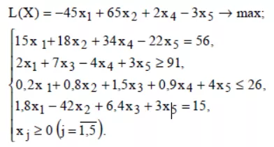
1) Найти решения для математической модели линейного программирования:
2) Решить задачу, если к условию задачи добавилось требование целочисленности значений всех переменных.
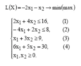
Задание 2. Решение задач графическим методом
Найти оптимальное решение задачи (точку минимума и точку максимума), математическая модель которой имеет вид:

КМ-4. Практическое задание №3
Отчет с решениями оформить в виде документа Word.
Содержание отчета
• титульный лист;
• цель работы; задание;
• описание порядка выполнения решения задачи каждым методом
• таблицы с результатами по каждому методу, где должны быть отражены границы и длины интервалов на каждой итерации;
• исходные файлы (если выполнение в Excel или другой программе)
• выводы по каждому заданию.

Практическая работа состоит из решения 2 заданий:
1) Решение транспортной задачи
2) Нахождение плана опорных планов Задания выполнять «вручную» (рассчитывать значения и пр.) – результаты вычислений представить в таблицах (Word или Excel).
На оценку «5» разработать программу задачи 1 или задачи 2 на языке программирования (Python, С++ и др.).

Задание 1.
Решение транспорт ной задачи Имеются три пункта поставки однородного груза А1, А2, А3 и пять пунктов В1, В2, В3, В4, В5 потребления этого груза. На пунктах А1, А2 и А3 находится груз соответственно в количестве а1, а2 и а3 тонн. В пункты В1, В2, В3, В4, В5 требуется доставить соответственно b1, b2, b3, b4 и b5 тонн груза. Стоимость перевозки единицы груза от пункта поставки до пункта потребления приведена в следующей матрице – таблице:

Найти план закрепления потребителей за поставщиками однородного груза, чтобы общие затраты по перевозкам были минимальными. Составить математическую модель задачи и решить ее, используя «Поиск решения» таблиц EXCEL.
Задание 2.
Нахождение опорных планов Найти двумя методами (методом северо-западного угла и методом минимального элемента) опорный план следующей транспортной задачи. Запасы на трех складах равны 210, 170, 65 ед. продукции, потребности четырех магазинов равны 125, 90, 130, 100 ед. продукции, тарифы перевозки в рублях за единицу продукции следующие:

Полное задание смотрите в "демо".
Курс Методы оптимизации - КМ-3. Решение задач линейного программирования. Решение задач графическим методом. Решение задач + КМ-4. Решение транспортной задачи. Нахождение опорных планов. Решение задач

Файлы условия, демо

📢 Есть вопросы или нужна помощь? Не знаете, как оформить заказ или оплатить?
👉 Просто нажмите кнопку Написать эксперту — я сразу отвечу, помогу разобраться и оформить всё за вас. 💬
🔥 Быстро. Удобно. Без лишних сложностей!

Характеристики домашнего задания

Учебное заведение
Номер задания
Программы
Теги
Просмотров
1
Качество
Идеальное компьютерное
Размер
381,1 Kb

Список файлов

Картинка-подпись
🎓 Поможем сдать всё — тесты, практику, экзамены, курсовые, дипломы, отчёты! Закроем долги под ключ 🔑 Ведём от первой сессии до диплома 🏆 Работаем с Синергией, МЭИ и другими вузами 🤝 Гарантия результата или возврат денег 💰 Пиши! 🚀

Комментарии

Нет комментариев
Стань первым, кто что-нибудь напишет!
Поделитесь ссылкой:
Базовая цена: 2 490 руб.
Уникальное решение Услуга за 2990 руб.
Помощь с тестом Услуга за 1999 руб.
Помощь с предметом ЦЕЛИКОМ Услуга за 4990 руб.
Помощь с полным закрытием сессии Услуга за 9999 руб.
Расширенная гарантия +3 недели гарантии, +10% цены
Рейтинг автора
5 из 5
Поделитесь ссылкой:
Сопутствующие материалы

Подобрали для Вас услуги

Вы можете использовать домашнюю работу для примера, а также можете ссылаться на неё в своей работе. Авторство принадлежит автору работы, поэтому запрещено копировать текст из этой работы для любой публикации, в том числе в свою домашнюю работу в учебном заведении, без правильно оформленной ссылки. Читайте как правильно публиковать ссылки в своей работе.
Свежие статьи
Популярно сейчас
Зачем заказывать выполнение своего задания, если оно уже было выполнено много много раз? Его можно просто купить или даже скачать бесплатно на СтудИзбе. Найдите нужный учебный материал у нас!
Ответы на популярные вопросы
Да! Наши авторы собирают и выкладывают те работы, которые сдаются в Вашем учебном заведении ежегодно и уже проверены преподавателями.
Да! У нас любой человек может выложить любую учебную работу и зарабатывать на её продажах! Но каждый учебный материал публикуется только после тщательной проверки администрацией.
Вернём деньги! А если быть более точными, то автору даётся немного времени на исправление, а если не исправит или выйдет время, то вернём деньги в полном объёме!
Да! На равне с готовыми студенческими работами у нас продаются услуги. Цены на услуги видны сразу, то есть Вам нужно только указать параметры и сразу можно оплачивать.
Отзывы студентов
Ставлю 10/10
Все нравится, очень удобный сайт, помогает в учебе. Кроме этого, можно заработать самому, выставляя готовые учебные материалы на продажу здесь. Рейтинги и отзывы на преподавателей очень помогают сориентироваться в начале нового семестра. Спасибо за такую функцию. Ставлю максимальную оценку.
Лучшая платформа для успешной сдачи сессии
Познакомился со СтудИзбой благодаря своему другу, очень нравится интерфейс, количество доступных файлов, цена, в общем, все прекрасно. Даже сам продаю какие-то свои работы.
Студизба ван лав ❤
Очень офигенный сайт для студентов. Много полезных учебных материалов. Пользуюсь студизбой с октября 2021 года. Серьёзных нареканий нет. Хотелось бы, что бы ввели подписочную модель и сделали материалы дешевле 300 рублей в рамках подписки бесплатными.
Отличный сайт
Лично меня всё устраивает - и покупка, и продажа; и цены, и возможность предпросмотра куска файла, и обилие бесплатных файлов (в подборках по авторам, читай, ВУЗам и факультетам). Есть определённые баги, но всё решаемо, да и администраторы реагируют в течение суток.
Маленький отзыв о большом помощнике!
Студизба спасает в те моменты, когда сроки горят, а работ накопилось достаточно. Довольно удобный сайт с простой навигацией и огромным количеством материалов.
Студ. Изба как крупнейший сборник работ для студентов
Тут дофига бывает всего полезного. Печально, что бывают предметы по которым даже одного бесплатного решения нет, но это скорее вопрос к студентам. В остальном всё здорово.
Спасательный островок
Если уже не успеваешь разобраться или застрял на каком-то задание поможет тебе быстро и недорого решить твою проблему.
Всё и так отлично
Всё очень удобно. Особенно круто, что есть система бонусов и можно выводить остатки денег. Очень много качественных бесплатных файлов.
Отзыв о системе "Студизба"
Отличная платформа для распространения работ, востребованных студентами. Хорошо налаженная и качественная работа сайта, огромная база заданий и аудитория.
Отличный помощник
Отличный сайт с кучей полезных файлов, позволяющий найти много методичек / учебников / отзывов о вузах и преподователях.
Отлично помогает студентам в любой момент для решения трудных и незамедлительных задач
Хотелось бы больше конкретной информации о преподавателях. А так в принципе хороший сайт, всегда им пользуюсь и ни разу не было желания прекратить. Хороший сайт для помощи студентам, удобный и приятный интерфейс. Из недостатков можно выделить только отсутствия небольшого количества файлов.
Спасибо за шикарный сайт
Великолепный сайт на котором студент за не большие деньги может найти помощь с дз, проектами курсовыми, лабораторными, а также узнать отзывы на преподавателей и бесплатно скачать пособия.
Популярные преподаватели
Добавляйте материалы
и зарабатывайте!
Продажи идут автоматически
7132
Авторов
на СтудИзбе
254
Средний доход
с одного платного файла
Обучение Подробнее