Для студентов МГУ им. Ломоносова по предмету Математический анализЗадача 2.89Задача 2.89
2025-05-212025-05-28СтудИзба
Задача 2: Задача 2.89 вариант 89
Описание
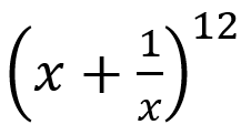
В разложении выражения
найти коэффициенты при xn , n=8.
Показать/скрыть дополнительное описаниеМатематический анализ в задачах и упражнениях. В 3 томах. Том 1. Дифференциальное и интегральное исчисление Виноградова Олехник, Садовничий .
Характеристики решённой задачи
Предмет
Учебное заведение
Номер задания
Вариант
Программы
Теги
Просмотров
9
Качество
Идеальное компьютерное
Размер
13,25 Kb
Список файлов
2.89.DOCX
Комментарии
Нет комментариев
Стань первым, кто что-нибудь напишет!
МГУ им. Ломоносова

















