Для студентов МГТУ им. Н.Э.Баумана по предмету Математический анализПриложения дифференциального исчисленияПриложения дифференциального исчисления
2015-11-112025-04-16СтудИзба
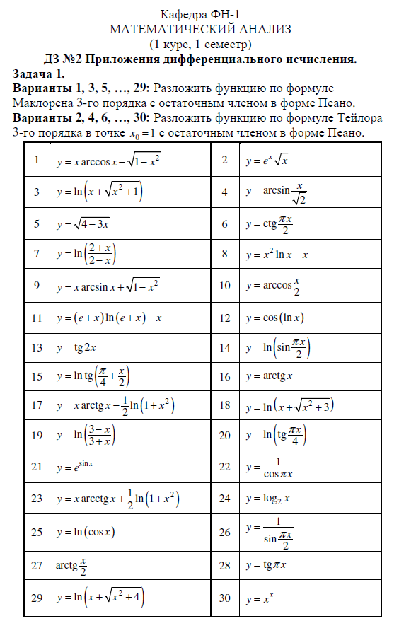
Вопросы/задания к заданиям 2: Приложения дифференциального исчисления
Описание



Характеристики вопросов/заданий к заданиям
Предмет
Учебное заведение
Семестр
Номер задания
Программы
Просмотров
1867
Качество
Идеальное компьютерное
Размер
1,29 Mb
Список файлов

Вам все понравилось? Получите кэшбэк - 40 рублей на Ваш счёт при покупке. Поставьте оценку и напишите положительный комментарий к купленному файлу. После Вы получите деньги на ваш счет.