Для студентов МГТУ им. Н.Э.Баумана по предмету Математический анализПределы и непрерывность функцийПределы и непрерывность функций
5,0052
2023-01-042025-04-13СтудИзба
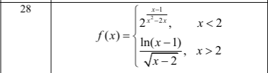
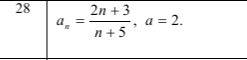
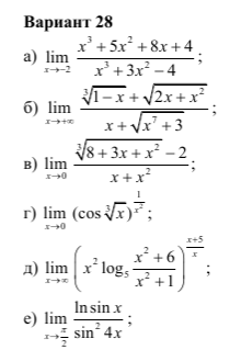
ДЗ 1.2: Пределы и непрерывность функций вариант 28
Описание
Выполнены следующие задания (на фото) на максимальный балл. Вариант 28.
![]()

Характеристики домашнего задания
Предмет
Учебное заведение
Семестр
Номер задания
Вариант
Просмотров
37
Качество
Фото рукописных листов
Размер
3,36 Mb
Список файлов
photo_2023-01-04_21-50-15.jpg
photo_2023-01-04_21-50-42.jpg
photo_2023-01-04_21-50-54.jpg
photo_2023-01-04_21-51-03.jpg
photo_2023-01-04_21-51-07.jpg
photo_2023-01-04_21-51-09.jpg
Screenshot_1.png
Screenshot_2.png
Комментарии
Нет комментариев
Стань первым, кто что-нибудь напишет!
МГТУ им. Н.Э.Баумана



















