Для студентов МГТУ им. Н.Э.Баумана по предмету Математический анализЭлементарные функции и их графикиЭлементарные функции и их графики
5,0052
2022-11-052025-04-16СтудИзба
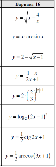
Вариант 16 - ДЗ №1 "Элементарные функции и их графики"
ДЗ 1.1: Элементарные функции и их графики вариант 16
-51%
Описание

Домашнее задание по матан МГТУ 1 семестр типовик, пределы, исследование функций, дифференциальное.
Характеристики домашнего задания
Предмет
Учебное заведение
Семестр
Номер задания
Вариант
Программы
Теги
Просмотров
65
Качество
Идеальное компьютерное
Размер
726,83 Kb
Список файлов
Элементарные функции и их графики.pdf

Вам все понравилось? Получите кэшбэк - 40 рублей на Ваш счёт при покупке. Поставьте оценку и напишите положительный комментарий к купленному файлу. После Вы получите деньги на ваш счет.