Для студентов МГТУ им. Н.Э.Баумана по предмету Математический анализЭлементарные функции и их графикиЭлементарные функции и их графики
5,0051
2022-09-202025-04-15СтудИзба
ДЗ 1.1: Элементарные функции и их графики вариант 1
-32%
Описание
Полностью зачтенный типовой расчет по матанализу для всех факультетов, кроме ФН. Идеальное компьютерное качество файла.
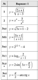
Условие:
Решение: ![]()
Условие:



Характеристики домашнего задания
Предмет
Учебное заведение
Семестр
Номер задания
Вариант
Теги
Просмотров
41
Качество
Идеальное компьютерное
Размер
642,68 Kb
Список файлов
Matan_1_1.pdf

Котики подняли настроение тебе, а поставив 5 звёзд на купленный файл, ты поднимешь его мне. Спасибо!