Для студентов МГТУ им. Н.Э.Баумана по предмету Математический анализЭлементарные функции и их графикиЭлементарные функции и их графики
4,9957513
2022-09-192025-09-16СтудИзба
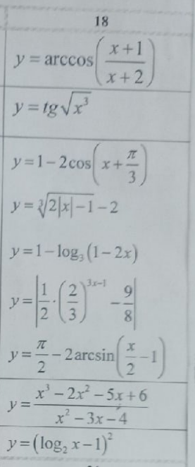
ДЗ 1.1: Элементарные функции и их графики вариант 18
-51%
Описание
РЕШЕНИЕ ДЗ №1 - ЭЛЕМЕНТАРНЫЕ ФУНКЦИИ И ИХ ГРАФИКИ (Фотка на доске в УЛК)
- Результаты проверены программой MathCAD Prime
- Графики построены шаг за шагом (Step by step) с подробными объяснениями
- Решение задач 1 -3 (а-д)

ДЕМО







Характеристики домашнего задания
Предмет
Учебное заведение
Семестр
Номер задания
Вариант
Просмотров
27
Качество
Идеальное компьютерное
Размер
12,39 Mb
Список файлов
VAR 18.pdf

Если работа Вам была полезна, Пожалуйста, потратьте несколько секунд, чтобы оставить нам 5 ЗВЁЗД и положительный отзывы. Мы Вам глубоко признателены!