Для студентов МГТУ им. Н.Э.Баумана по предмету Математический анализПределы и непрерывность функцийПределы и непрерывность функций
5,0051
2021-11-272025-04-12СтудИзба
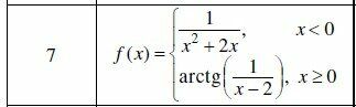
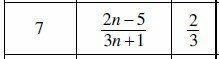
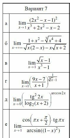
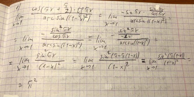
ДЗ 1.2: Пределы и непрерывность функций вариант 7
Описание
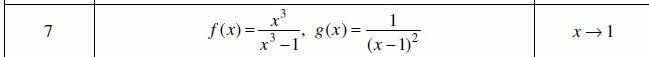
В файле выполненное ДЗ-2 по курсу математический анализ для 7 варианта факультетов ФН СМ РК. Условие и фото почерка ниже
![]()
Характеристики домашнего задания
Предмет
Учебное заведение
Семестр
Номер задания
Вариант
Просмотров
32
Размер
2,97 Mb
Список файлов
1.jpg
2.jpg
3.jpg
4.jpg
5.jpg
6.jpg
7.jpg
8.jpg
9.jpg
10.jpg
Комментарии
Нет комментариев
Стань первым, кто что-нибудь напишет!
МГТУ им. Н.Э.Баумана
Freebie_bauman


















