Для студентов МГТУ им. Н.Э.Баумана по предмету Математический анализПриложения дифференциального исчисленияПриложения дифференциального исчисления
5,0055
2020-10-302025-04-16СтудИзба
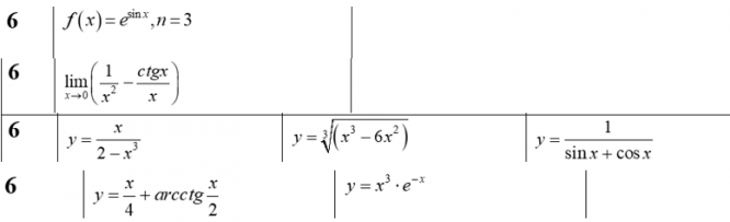
ДЗ 2: Приложения дифференциального исчисления вариант 6
Описание
Характеристики домашнего задания
Предмет
Учебное заведение
Семестр
Номер задания
Вариант
Просмотров
175
Размер
6,69 Mb
Список файлов
merged (pdf.io).pdf
