Для студентов ИДДО НИУ «МЭИ» по предмету Математический анализМатематический анализМатематический анализ
2025-12-292025-12-29СтудИзба
Ответы к экзамену: Математический анализ
Описание

- Может ли размерность пространства решений линейного дифференциального уравнения второго порядка быть равной 3?
- Сумма решений линейного дифференциального уравнения
- Может ли дифференциальное уравнение второго порядка не иметь ни одного решения в действительной области?
- Двойной интеграл есть
- Формула Грина связывает
- Модуль якобиана сферического отображения равен
- Может ли областью сходимости степенного ряда быть множество
- Верно ли, что знакочередующийся числовой ряд всегда сходится?
- Радиус сходимости степенного ряда
- Установить соответствие между интегралом и его значением
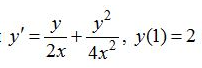
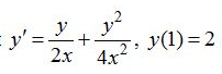
- Решением задачи Коши y′=2xy+4x2y2, y(1)=2 является:
![]()
- Общее решение уравнения y’’ – 2y’ + y’ = 0 есть:
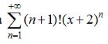
- найти область сходимости ряда ∑n=1+∞(n+1)!(x+2)n.
![]()
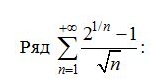
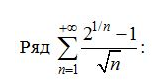
- Ряд ∑(n=1 до +∞) (2^(1/n) – 1) / √n:
![]()
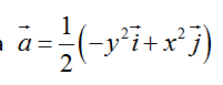
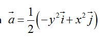
- Найти ротор вектора a=21(−y2i+x2j). Требуется найти его ротор
![]()
Список вопросов
Модуль якобиана сферического отображения равен:
Установить соответствие между интегралом и его значением: 0,1,6
![]()

Может ли размерность пространства решений линейного дифференциального уравнения второго порядка быть равной 3?
Найти ротор вектора a=1/2 (−y2i+x2j). Требуется найти его ротор
Ряд ∑(n=1 до +∞) (2^(1/n) – 1) / √n: ![]()

найти область сходимости ряда +∞n=1∑(n+1)!(x+2)n.
![]()

Общее решение уравнения y’’ – 2y’ + y’ = 0 есть:
Решением задачи Коши y′=(y/2x)+(y2/4x2), y(1)=2 является:
Радиус сходимости степенного ряда:
Верно ли, что знакочередующийся числовой ряд всегда сходится?
Может ли областью сходимости степенного ряда быть множество: (1,2)∪(3,4)
Формула Грина связывает
Двойной интеграл есть
Может ли дифференциальное уравнение второго порядка не иметь ни одного решения в действительной области?
Сумма решений линейного дифференциального уравнения
Характеристики ответов (шпаргалок) к экзамену
Тип
Коллекция: Ответы (шпаргалки) к экзамену
Предмет
Учебное заведение
Семестр
Просмотров
6
Количество вопросов
Комментарии
Нет комментариев
Стань первым, кто что-нибудь напишет!




ИДДО НИУ «МЭИ» 

















