Для студентов ИДДО НИУ «МЭИ» по предмету Математический анализКурс Математический анализ 1/1 - КМ-1. Введение в математический анализ. ТестированиеКурс Математический анализ 1/1 - КМ-1. Введение в математический анализ. Тестирование
4,99521723
2025-03-282025-03-28СтудИзба
💼 База ответов к тесту КМ-1: Введение в математический анализ (Курс Математический анализ) 📊
Ответы к заданиям КМ-1: Курс Математический анализ 1/1 - КМ-1. Введение в математический анализ. Тестирование
Описание
Курс Математический анализ 1/1 - КМ-1. Введение в математический анализ. Тестирование
🔴 Другие тесты | Отдельные ответы по предмету | Помощь со сдачей ⬅️
➡️Любой предмет | Любой тест | Любая практика | ВКР (Диплом)⬅️
🗝️ ▶Помощь с сессией/долгами под ключ ◀ 🗝️
🔴 Другие тесты | Отдельные ответы по предмету | Помощь со сдачей ⬅️

➡️Любой предмет | Любой тест | Любая практика | ВКР (Диплом)⬅️
🗝️ ▶Помощь с сессией/долгами под ключ ◀ 🗝️
Список вопросов
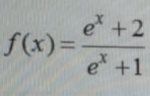
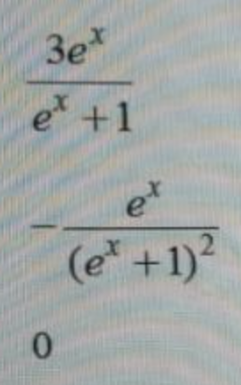
Если
, то f'(x) равна:
![]()


Уравнение нормали к графику функции 2√х в точке х = 0 есть:
Если
, то f'(x) равна:

Если f(x)= sin2x, то f'(x) равна:
Наклонной асимтотой графика функции
является прямая:

Вертикальной асимптотой графика функции
является:

является:
Максимальное значение функции f(x) = lnx/х на множестве [3; +∞) равно:




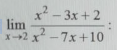
Чему равен предел ![]()

Чему равен предел ![]()

Чему равен предел ![]()

Характеристики ответов (шпаргалок) к заданиям
Тип
Коллекция: Ответы (шпаргалки) к заданиям
Предмет
Учебное заведение
Номер задания
Теги
Просмотров
4
Качество
Идеальное компьютерное
Количество вопросов
Преподаватели

Гарантия сдачи без лишних хлопот! ✅🎓 Ответы на тесты по любым дисциплинам, базы вопросов, работы и услуги для Синергии, МЭИ и других вузов – всё уже готово! 🚀 🎯📚 Гарантия качества – или возврат денег! 💰✅