Для студентов ИДДО НИУ «МЭИ» по предмету Математический анализКурс Математический анализ - КМ-1. Пределы. ТестированиеКурс Математический анализ - КМ-1. Пределы. Тестирование
4,99521658
2025-03-272025-03-27СтудИзба
💼 База ответов к тесту КМ-1: Пределы (Курс Математический анализ) 📊
Ответы к заданиям КМ-1: Курс Математический анализ - КМ-1. Пределы. Тестирование
Описание
Курс Математический анализ - КМ-1. Пределы. Тестирование
🔴 Другие тесты | Отдельные ответы по предмету | Помощь со сдачей ⬅️
➡️Любой предмет | Любой тест | Любая практика | ВКР (Диплом)⬅️
🗝️ ▶Помощь с сессией/долгами под ключ ◀ 🗝️
🔴 Другие тесты | Отдельные ответы по предмету | Помощь со сдачей ⬅️

➡️Любой предмет | Любой тест | Любая практика | ВКР (Диплом)⬅️
🗝️ ▶Помощь с сессией/долгами под ключ ◀ 🗝️
Список вопросов
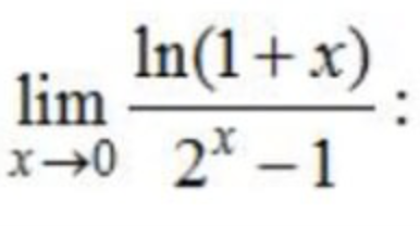
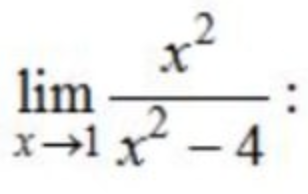
Чему равен предел ![]()

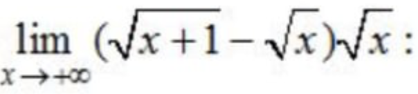
Чему равен предел
![]()

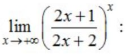
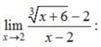
Чему равен предел ![]()

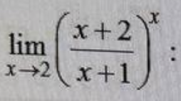
Чему равен предел ![]()

Чему равен предел ![]()

Чему равен предел ![]()

Чему равен предел ![]()

Чему равен предел ![]()

Чему равен предел ![]()

Чему равен предел
![]()

Чему равен предел ![]()

Чему равен предел ![]()

Чему равен предел ![]()

Чему равен предел ![]()

Характеристики ответов (шпаргалок) к заданиям
Тип
Коллекция: Ответы (шпаргалки) к заданиям
Предмет
Учебное заведение
Номер задания
Теги
Просмотров
7
Качество
Идеальное компьютерное
Количество вопросов
Преподаватели

Гарантия сдачи без лишних хлопот! ✅🎓 Ответы на тесты по любым дисциплинам, базы вопросов, работы и услуги для Синергии, МЭИ и других вузов – всё уже готово! 🚀 🎯📚 Гарантия качества – или возврат денег! 💰✅