Для студентов МГТУ им. Н.Э.Баумана по предмету Математическая логика и теория алгоритмовВариант 6 - ДЗ №2Вариант 6 - ДЗ №2
5,0055
2020-05-212020-05-21СтудИзба
ДЗ: Вариант 6 - ДЗ №2 вариант 6
Описание
Домашнее задание №2 ИУ7 Вариант 6
Задание № 1:
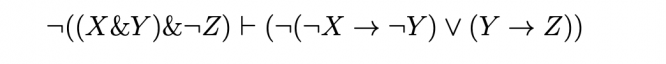
Задание №3:
Доказать в исчислении высказываний (буквы обозначают произвольные формулы):![]()
Задание № 1:
а) найти сокращенную ДНФ
б) найти ядро функции
в) получить все тупиковые ДНФ и указать, какие из них являются минимальными
г) на картах Карно указать ядро и покрытия, соответствующие минимальным ДНФ.
Задание №2:
а) Вычислить таблицу значений функции f.
б) Найти минимальные ДНФ функций f и w.
в) Выяснить полноту системы {f, w}. Если система не полна, дополнить систему функцией
g до полной системы.
Указание. Запрещается дополнять систему константами, отрицанием и базовыми функциями двух переменных. Не допускается дополнение функцией, образующей с f или w полную подсистему, кроме случаев, когда иное невозможно.
г) Из функциональных элементов, реализующих функции полной системы {f, w} или {f, w, g}, построить функциональные элементы, реализующие базовые функции.
Задание №3:
Доказать в исчислении высказываний (буквы обозначают произвольные формулы):
Характеристики домашнего задания
Учебное заведение
Семестр
Вариант
Просмотров
259
Качество
Идеальное компьютерное
Размер
159,69 Kb
МГТУ им. Н.Э.Баумана


















