Для студентов МГТУ им. Н.Э.Баумана по предмету Машинно-зависимые языки программированияПрограммирование математического сопроцессора. Вызов ассемблерных функций из программ C/C++Программирование математического сопроцессора. Вызов ассемблерных функций из программ C/C++
5,0051
2023-11-022023-11-02СтудИзба
Лабораторная работа по МЗЯП на тему "Программирование математического сопроцессора. Вызов ассемблерных функций из программ C/C++" на "отчлино"
Лабораторная работа: Программирование математического сопроцессора. Вызов ассемблерных функций из программ C/C++
Описание
Цель: практическое овладение навыками разработки программного кода на языке Ассемблер. Изучить особенности программирования математического сопроцессора. Научиться стыковать модули, написанные с помощью языка Ассемблер и С++.
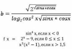
Задание: Составить программу для вычисления значения функций
b = sqrt(2^sqrt(sinx*cosx))/log(cosx^2*sqrt(sinx*cosx))
f(x)=sin4(x), если x<0
=2^x-9, если 0<=x<=1
=(x^3)*(x^2-1), если x>1,5
Отчет содержит листинг кода 2-ух файлов (ассемблер и с++), описание использованных команд, результат выполнения программы. + Файлы кода
Задание: Составить программу для вычисления значения функций
b = sqrt(2^sqrt(sinx*cosx))/log(cosx^2*sqrt(sinx*cosx))
f(x)=sin4(x), если x<0
=2^x-9, если 0<=x<=1
=(x^3)*(x^2-1), если x>1,5
Отчет содержит листинг кода 2-ух файлов (ассемблер и с++), описание использованных команд, результат выполнения программы. + Файлы кода
Файлы условия, демо
Характеристики лабораторной работы
Учебное заведение
Семестр
Просмотров
24
Размер
235,41 Kb
Список файлов
Отчет_2021_ЛР9_МЗЯП.pdf
main-cpp.txt
9.xlsx
calc-asm.txt
МГТУ им. Н.Э.Баумана



















