Для студентов МГТУ им. Н.Э.Баумана по предмету Линейная алгебра и аналитическая геометрияЛинейная алгебраЛинейная алгебра
4,9957567
2025-09-112025-09-11СтудИзба
💥💥💥ДЗ №1 - Вариант 9 - Линейная алгебра (ОТЛИЧНАЯ ВЕРСИЯ) для ИУ-РЛ-ПС-РТ 🌟🌟🌟
ДЗ 1: Линейная алгебра вариант 9
-51%
Описание
🌟ДЗ БЫЛО ПРОВЕРЕНО И ЗАЧТЕНО НА МАКСИМУМ! 💥💥💥
🌟ДЗ БЫЛО АККУРАТНО ВЫПОЛНЕНО С КРАСИВЫМ ПОЧЕРКОМ 🎉🎉🎉
ДЕМО
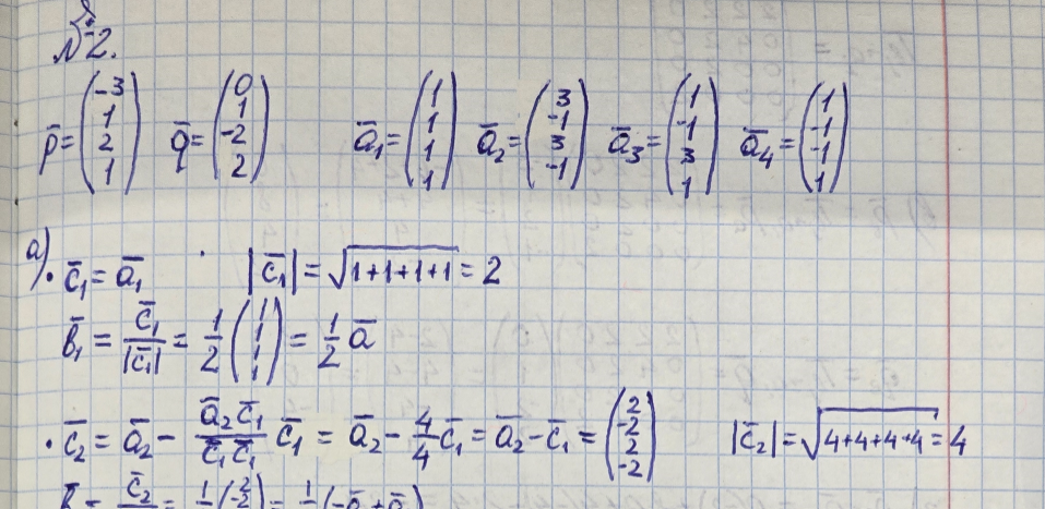
📌Задача 1

📌Задача 2


📌Задача 3


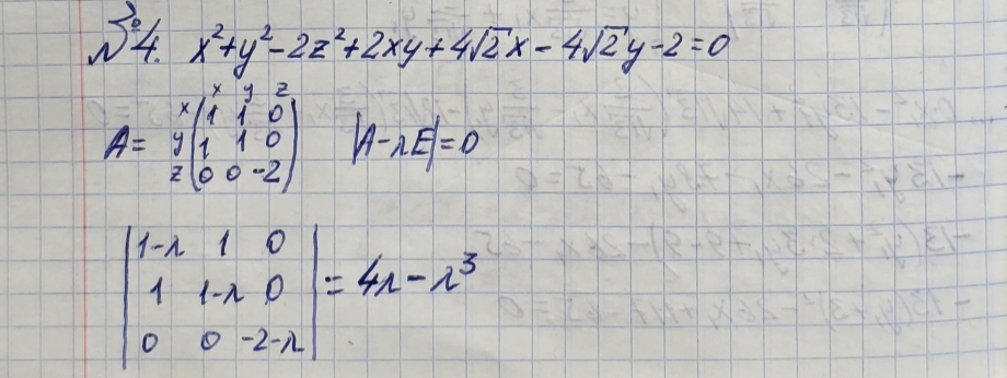
📌Задача 4


В линейном пространстве V3 свободных векторов выбран правый ортонормированный базис (i, j, k). Этот базис поворачивается вокруг вектора e1 (это один из базисный векторов) на угол ϕ (в положительном направлении, если ϕ > 0, т.е. против часовой стрелки, если смотреть с конца вектора e1). Затем полученный базис поворачивается вокруг вектора e2 (это один из базисных векторов нового базиса) на угол ψ. В результате получается новый базис (i 0 , j 0 , k 0 ). Найти матрицу перехода из старого базиса в новый..
Файлы условия, демо
Характеристики домашнего задания
Учебное заведение
Семестр
Номер задания
Вариант
Просмотров
2
Качество
Скан рукописных листов
Размер
18,73 Mb
Список файлов
1.jpg
2.jpg
3.jpg
4.jpg
5.jpg
6.jpg
7.jpg

Если работа Вам была полезна, Пожалуйста, потратьте несколько секунд, чтобы оставить нам 5 ЗВЁЗД и положительный отзывы. Мы Вам глубоко признателены!