Для студентов МГТУ им. Н.Э.Баумана по предмету Линейная алгебра и аналитическая геометрияКривые второго порядкаКривые второго порядка
5,0055
2013-08-162025-08-07СтудИзба
ДЗ 2.1: Кривые второго порядка вариант 15
-51%
Описание
- В задачах 1-4,6 определите тип кривой по заданному уравнению, приведите к каноническому виду и постройте кривую, найдите координаты фокусов. Для эллипса и гиперболы определите эксцентриситет, составьте уравнения асимптот для гиперболы; для параболы найдите значение параметра, составьте уравнение директрисы.
- В задаче 5 приведите уравнение к каноническому виду и постройте кривую.
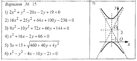
- В задаче 7 составьте уравнение кривой по заданному чертежу.

Характеристики домашнего задания
Учебное заведение
Семестр
Номер задания
Вариант
Просмотров
1937
Качество
Фото рукописных листов
Размер
6,01 Mb
Список файлов
Кривые второго порядка.pdf

Вам все понравилось? Получите кэшбэк - 40 рублей на Ваш счёт при покупке. Поставьте оценку и напишите положительный комментарий к купленному файлу. После Вы получите деньги на ваш счет.