Для студентов МГТУ им. Н.Э.Баумана по предмету Линейная алгебра и аналитическая геометрияПоверхности второго порядкаПоверхности второго порядка
5,0057
2013-08-162025-08-07СтудИзба
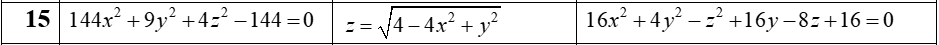
ДЗ 2.2: Поверхности второго порядка вариант 15
-51%
Описание
Характеристики домашнего задания
Учебное заведение
Семестр
Номер задания
Вариант
Просмотров
1646
Качество
Фото рукописных листов
Размер
4,06 Mb
Список файлов
Поверхности второго порядка.pdf

Вам все понравилось? Получите кэшбэк - 40 рублей на Ваш счёт при покупке. Поставьте оценку и напишите положительный комментарий к купленному файлу. После Вы получите деньги на ваш счет.