Модульное дз по ЛАиФНП (линейная алгебра) бауманцам первокурсникам 20 вариант на полный балл у Московского Б.И.
Описание
Задача 1
Задача 2
Задача 3
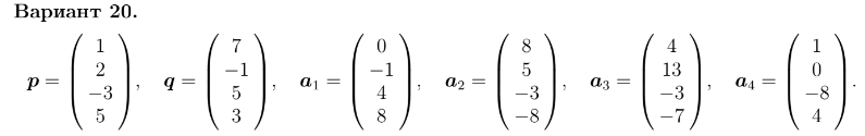
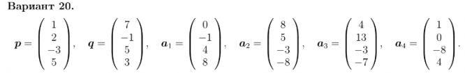
Задача 4
Показать/скрыть дополнительное описаниедз по линалу В линейном пространстве V3 свободных векторов выбран правый ортонормированный базис (i, j, k). Этот базис поворачивается вокруг вектора e1 (это один из базисных векторов) на угол phi Векторы p и q евклидова пространства E4 представлены своими координатами в базисе a1, a2, a3, a4, векторы которого в свою очередь представлены своими координатами в некотором ортонормированном базисе Уравнение кривой второго порядка на плоскости Oxy привести к каноническому виду, указав: а) преобразование перехода из заданной системы координат в каноническую (собственные числа ортогонального преобразования расположить в порядке возрастания); б) канонический вид уравнения кривой; в) каноническую систему координат и кривую на плоскости Oxy.
Уравнение поверхности второго порядка в пространстве Oxyz привести к каноническому виду, указав: а) преобразование перехода из заданной системы координат в каноническую (собственные числа ортогонального преобразования расположить в порядке возрастания); б) канонический вид уравнения поверхности; в) в канонической системе координат построить поверхность, используя метод сечений для исследования формы плоскости..
МГТУ им. Н.Э.Баумана



















