Для студентов МГТУ им. Н.Э.Баумана по предмету Линейная алгебра и аналитическая геометрияЛинейная алгебраЛинейная алгебра
5,0054
2022-04-192025-05-22СтудИзба
Вариант 10 - ДЗ №1 "Линейная алгебра" - 8 Задач
ДЗ 1: Линейная алгебра вариант 10
-43%
Описание
Первый типовой расчет по линейной алгебре, 8 задач, зачтено на максимальный балл.
Задача 1:
Задача 2:
Задача 3:
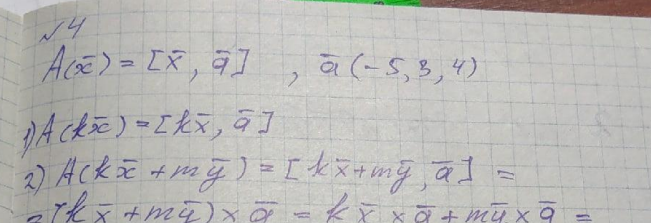
Задача 4:
Задача 5:
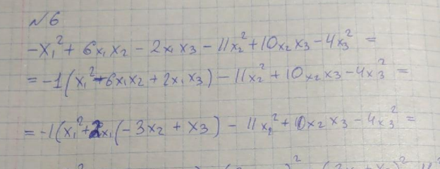
Задача 6:
Задача 7:
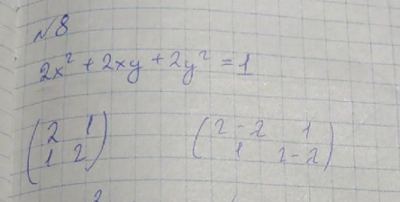
Задача 8:
Показать/скрыть дополнительное описание
Задача 1:








Типовой расчет по линейной алгебре МГТУ.
Характеристики домашнего задания
Учебное заведение
Семестр
Номер задания
Вариант
Теги
Просмотров
110
Качество
Фото рукописных листов
Размер
3,46 Mb
Список файлов
Вариант 10 Линал Дз-1 101.pdf

Спасибо за покупку! Я буду очень рад, если поставишь справедливую оценку купленному файлу :3 Ищи больше работ в моём профиле, там много нужного тебе!