Для студентов МГТУ им. Н.Э.Баумана по предмету Линейная алгебра и аналитическая геометрияПоверхности второго порядкаПоверхности второго порядка
4,92522849
2021-12-162025-05-20СтудИзба
ДЗ 2.2: Поверхности второго порядка вариант 6
-51%
Описание
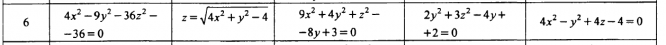
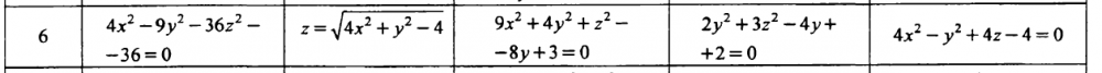
- Задача 1. Написать уравнение поверхности, полученной вращением заданной кривой вокруг заданной оси (табл. 3). Сделать рисунок поверхности.
- Задача 2. Построить цилиндрическую поверхность по заданному уравнению (табл. 4).
- Задача З. Привести каждое уравнение поверхности к каноническому виду и построить поверхность методом сечений (табл. 5).
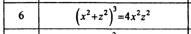
- Задача 4. Заданы уравнения двух поверхностей. Построить обе поверхности и линию их пересечения. Написать уравнения линии пересечения поверхностей и уравнение ее проекции на заданную плоскость (табл. 6). Построить проекцию линии пересечения заданных поверхностей на заданную плоскость.
Характеристики домашнего задания
Учебное заведение
Семестр
Номер задания
Вариант
Программы
Просмотров
13
Качество
Идеальное компьютерное
Размер
1,46 Mb
Список файлов
Поверхности второго порядка.docx

Вам все понравилось? Получите кэшбэк - 40 рублей на Ваш счёт при покупке. Поставьте оценку и напишите положительный комментарий к купленному файлу. После Вы получите деньги на ваш счет.