Для студентов МГТУ им. Н.Э.Баумана по предмету Линейная алгебра и аналитическая геометрияФункции нескольких переменныхФункции нескольких переменных
5,0057
2021-05-132025-05-27СтудИзба
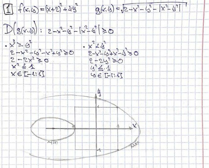
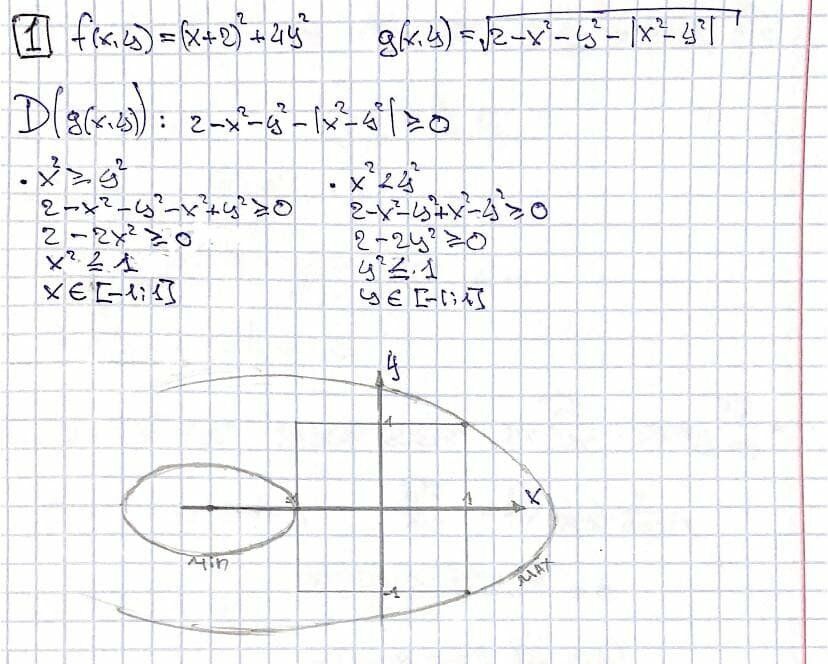
ДЗ 2: Функции нескольких переменных вариант 13
Описание
Файлы условия, демо
Характеристики домашнего задания
Учебное заведение
Семестр
Номер задания
Вариант
Просмотров
117
Размер
3,89 Mb
Список файлов
Типовик ФНП (принято).pdf
Комментарии
Нет комментариев
Стань первым, кто что-нибудь напишет!
МГТУ им. Н.Э.Баумана
rysikk_5555



















