Для студентов МГТУ им. Н.Э.Баумана по предмету Линейная алгебра и аналитическая геометрияКривые и поверхности второго порядкаКривые и поверхности второго порядка
4,68568
2021-01-312025-05-25СтудИзба
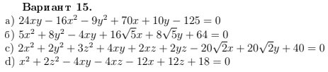
ДЗ 1.2: Кривые и поверхности второго порядка вариант 15
Описание

Характеристики домашнего задания
Учебное заведение
Семестр
Номер задания
Вариант
Просмотров
36
Размер
2,46 Mb
Список файлов
15вариант.pdf
МГТУ им. Н.Э.Баумана
OldmanUFO


















