Для студентов МГТУ им. Н.Э.Баумана по предмету Линейная алгебра и аналитическая геометрияЛинейная алгебраЛинейная алгебра
5,00511
2020-02-152025-05-24СтудИзба
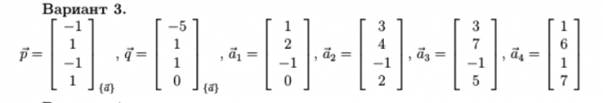
ДЗ 1.1: Линейная алгебра вариант 3
Описание
Характеристики домашнего задания
Учебное заведение
Семестр
Номер задания
Вариант
Просмотров
332
Качество
Фото рукописных листов
Размер
7 Mb
Список файлов
1.jpg
2.jpg
3.jpg
4.jpg
5.jpg
6.jpg
7.jpg
8.jpg
9.jpg
МГТУ им. Н.Э.Баумана
nelesser
















