Для студентов МГТУ им. Н.Э.Баумана по предмету Линейная алгебра и аналитическая геометрияЛинейная алгебраЛинейная алгебра
4,92523445
2017-12-262025-08-07СтудИзба
ДЗ 1: Линейная алгебра вариант 16
-51%
Описание
- Задача 1. В линейном пространстве V3 свободных векторов выбран правый ортонормированный базис (i, j, k). Этот базис поворачивается вокруг вектора е1 (это один из базисный векторов) на угол φ (в положительном направлении, если φ>0, т.е. против часовой стрелки, если смотреть с конца вектора е1). Затем полученный базис поворачивается вокруг вектора е2 (это один из базисных векторов нового базиса) на угол ψ. В результате получается новый базис (i`, j', k`). Найти матрицу перехода из старого базиса в новый.
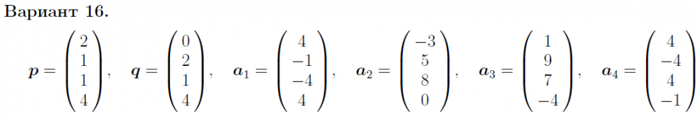
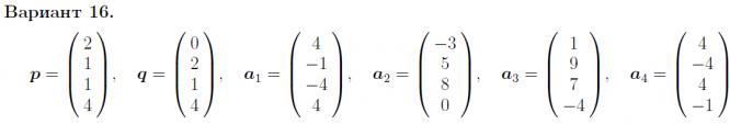
- Задача 2. Векторы p и q евклидова пространства Е4 представлены своими координатами в базисе a1, a2, a3, a4, векторы которого в свою очередь представлены своими координатами в некотором ортонормированном базисе.
б) найти матрицу перехода T bj->ai из полученного ортонормированного базиса {bi} в исходном базисе {аi}
в) найти координаты векторов p и q в ортонормированном базисе {bi}
г) вычислить скалярное произведение (p,q)
д) вычислить угол между векторами p и q

- Задача 3. Уравнение кривой второго порядка на плоскости Oxy привести к каноническому виду, указав:
б) канонический вид уравнения кривой
в) каноническую систему координат и кривую на плоскости Oxy

- Задача 4. Уравнение поверхности второго порядка на плоскости Oxyz привести к каноническому виду, указав:
б) канонический вид поверхности
в) в канонической системе координат построить поверхность, используя метод сечений для
исследования формы поверхности

Характеристики домашнего задания
Учебное заведение
Семестр
Номер задания
Вариант
Просмотров
252
Качество
Фото рукописных листов
Размер
3,3 Mb
Список файлов
Линейная алгебра.pdf

Вам все понравилось? Получите кэшбэк - 40 рублей на Ваш счёт при покупке. Поставьте оценку и напишите положительный комментарий к купленному файлу. После Вы получите деньги на ваш счет.