Для студентов МГТУ им. Н.Э.Баумана по предмету Линейная алгебра и аналитическая геометрияКривые второго порядкаКривые второго порядка
5,0056
2014-12-122025-05-20СтудИзба
ДЗ 2.1: Кривые второго порядка вариант 5
-51%
Описание
- В задачах 1-4,6 определите тип кривой по заданному уравнению, приведите к каноническому виду и постройте кривую, найдите координаты фокусов. Для эллипса и гиперболы определите эксцентриситет, составьте уравнения асимптот для гиперболы; для параболы найдите значение параметра, составьте уравнение директрисы.
- В задаче 5 приведите уравнение к каноническому виду и постройте кривую.
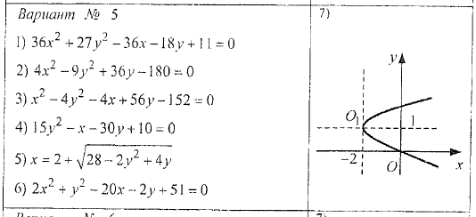
- В задаче 7 составьте уравнение кривой по заданному чертежу.

Характеристики домашнего задания
Учебное заведение
Семестр
Номер задания
Вариант
Программы
Просмотров
2865
Качество
Идеальное компьютерное
Размер
418,9 Kb
Список файлов
Кривые второго порядка.docx

Вам все понравилось? Получите кэшбэк - 40 рублей на Ваш счёт при покупке. Поставьте оценку и напишите положительный комментарий к купленному файлу. После Вы получите деньги на ваш счет.