Для студентов МГТУ им. Н.Э.Баумана по предмету Конструирование летательных аппаратовРубежный контрольРубежный контроль
5,0052
2024-02-182024-02-18СтудИзба
РК 2 по КЛА от Баслыка
Другое 2: Рубежный контроль
Описание
РК №2 от Баслыка идеально решенный
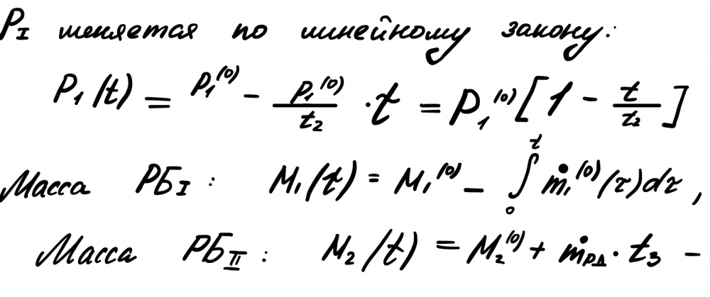
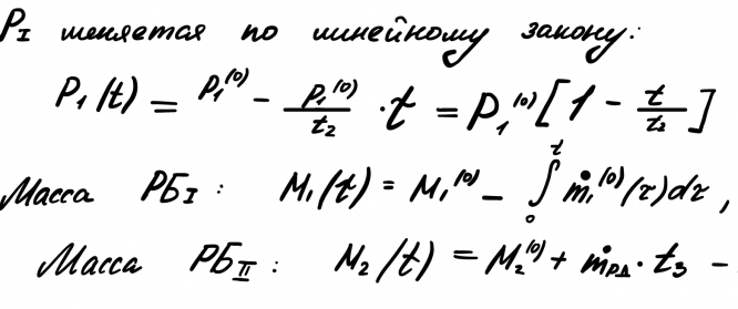
4. Получить формулу
Выглядит так:
При увеличении пдф все различимо:
Выглядит так:
Характеристики учебной работы
Тип
Учебное заведение
Номер задания
Просмотров
37
Качество
Скан рукописных листов
Размер
2,62 Mb
Список файлов
РК 2 по КЛА.pdf
Комментарии
Нет комментариев
Стань первым, кто что-нибудь напишет!
МГТУ им. Н.Э.Баумана


















